Early coupled climate carbon cycle (C4-) models showed the importance of carbon cycle feedbacks for projected changes in atmospheric CO2 and climate change.
Cox, P., Betts, R., Jones, C. et al. Acceleration of global warming due to carbon-cycle feedbacks in a coupled climate model. Nature 408, 184–187 (2000). https://doi.org/10.1038/35041539
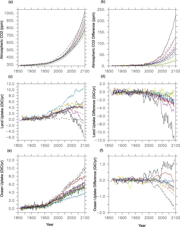
Friedlingstein, P., and Coauthors, 2006: Climate–Carbon Cycle Feedback Analysis: Results from the C4MIP Model Intercomparison. J. Climate, 19, 3337–3353, https://doi.org/10.1175/JCLI3800.1
A simple, mathematically tractable framework was developed to quantify these feedbacks and compare these to other Earth system feedbacks.
Gregory, J. M., et al. 2009: Quantifying Carbon Cycle Feedbacks. J. Climate, 22, 5232–5250, https://doi.org/10.1175/2009JCLI2949.1.
Analysis of C4-MIP type simulations lead to the discovery of a near linear emissions-to-warming link: the transient climate response to emissions (TCRE).
Matthews, H., et al. The proportionality of global warming to cumulative carbon emissions. Nature 459, 829–832 (2009). https://doi.org/10.1038/nature08047
An emergent linear relation-ship between the short- and long-term climate sensitivity of the carbon cycle provides the opportunity for emergent-based constraints of the feedback parameters.
Wenzel, S., P. M. Cox, V. Eyring, and P. Friedlingstein (2014), Emergent constraints on climate-carbon cycle feedbacks in the CMIP5 Earth system models, J. Geophys. Res. Biogeosci., 119, 794–807, doi:10.1002/2013JG002591.
Zechlau, S., Schlund, M., Cox, P. M., Friedlingstein, P., & Eyring, V. (2022). Do emergent constraints on carbon cycle feedbacks hold in CMIP6? Journal of Geophysical Research: Biogeosciences, 127, e2022JG006985. https://doi.org/10.1029/2022JG006985
Terrestrial carbon cycle feedbacks are attenuated by nutrient-limitation, leading to stronger projected atmospheric changes
Zaehle, S., et al., 2015: Nitrogen Availability Reduces CMIP5 Projections of Twenty-First-Century Land Carbon Uptake. J. Climate, 28, 2494–2511, https://doi.org/10.1175/JCLI-D-13-00776.1.

Discovery that the Earth system models suggest significant weakening, even potential reversal, of the ocean and land sinks under future low emission scenarios.
C D Jones et al 2016 Environ. Res. Lett. 11 095012DOI 10.1088/1748-9326/11/9/095012

A new protocol was added to C4MIP to fill the need to understand the Zero-Emission Commitment (ZEC)
Jones, C. D., et al.: The Zero Emissions Commitment Model Intercomparison Project (ZECMIP) contribution to C4MIP: quantifying committed climate changes following zero carbon emissions, Geosci. Model Dev., 12, 4375–4385, https://doi.org/10.5194/gmd-12-4375-2019, 2019.

First simulations outline the implications of ZEC for the reversibility of carbon cycle changes
Charles D Koven et al 2023 Environ. Res. Lett. 18 014017DOI 10.1088/1748-9326/acab1a
Decomposition of carbon-cycle feedbacks by chain of processes reveals insights into future development needs
Arora, V. K., et al.: Carbon–concentration and carbon–climate feedbacks in CMIP6 models and their comparison to CMIP5 models, Biogeosciences, 17, 4173–4222, https://doi.org/10.5194/bg-17-4173-2020, 2020.






